Официальное опубликование правовых актов
ОФИЦИАЛЬНОЕ ОПУБЛИКОВАНИЕ
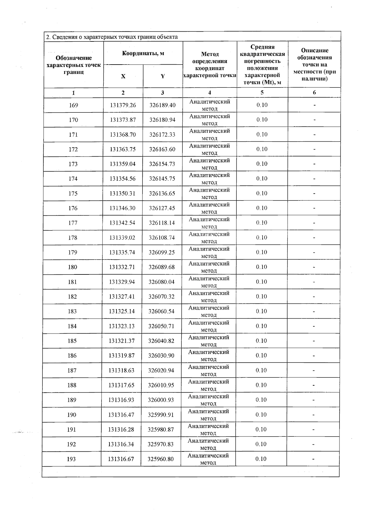
Приказ Министерства природопользования и экологии Владимирской области от 09.11.2023 № 118
"Об установлении зон санитарной охраны источников питьевого, хозяйственно-бытового и технического водоснабжения АО "Муромское ПАТП"
(Зарегистрирован 09.11.2023 № МПЭ2023-118)
Номер опубликования: 3301202311090001
Дата опубликования: 09.11.2023
Страница №19 из 28:
Увеличить