Официальное опубликование правовых актов
ОФИЦИАЛЬНОЕ ОПУБЛИКОВАНИЕ
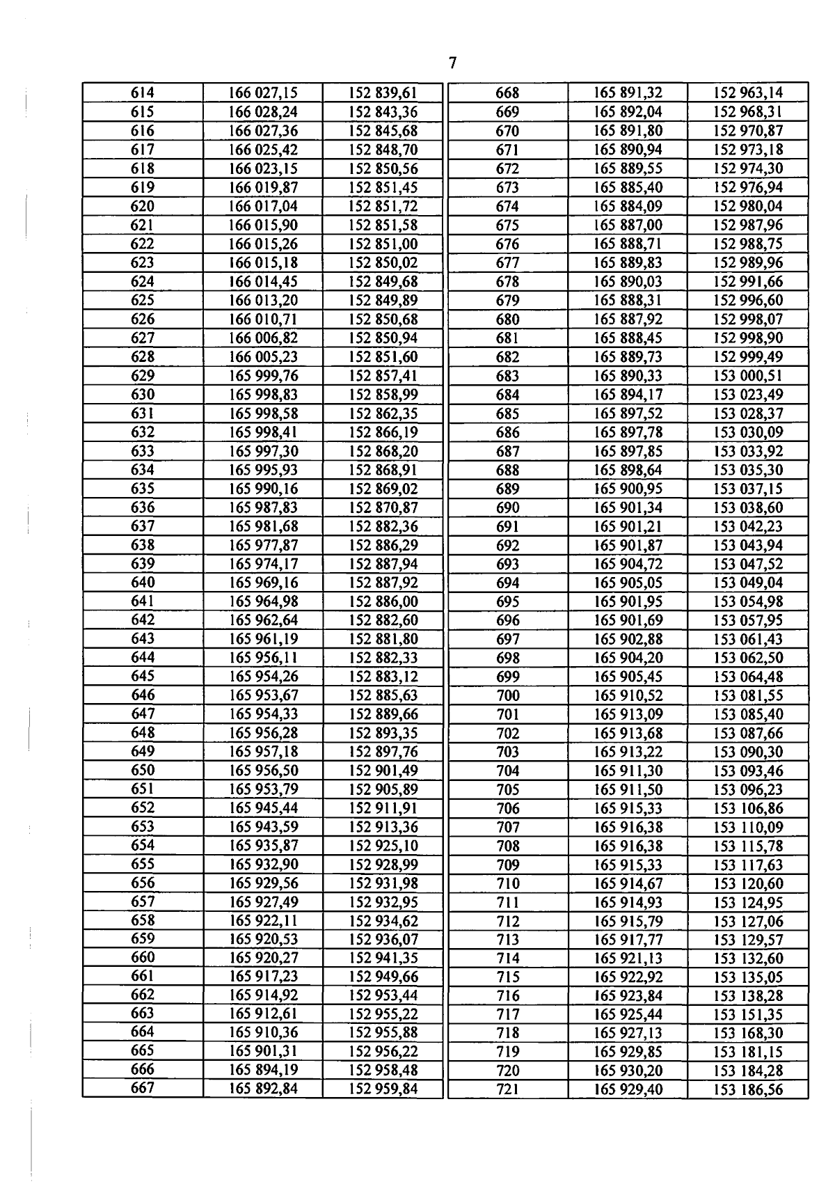
Приказ Министерства природопользования и экологии Владимирской области от 23.10.2023 № 111-н
"Об утверждении границ водоохранной зоны и прибрежной защитной полосы реки Черная"
(Зарегистрирован 23.10.2023 № МПЭ2023-111)
Номер опубликования: 3301202310240002
Дата опубликования: 24.10.2023
Страница №10 из 88:
Увеличить