Официальное опубликование правовых актов
ОФИЦИАЛЬНОЕ ОПУБЛИКОВАНИЕ
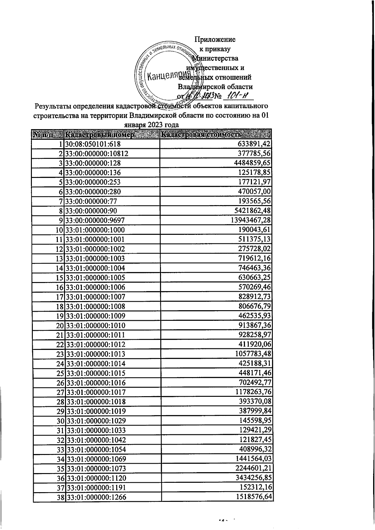
Приказ Министерства имущественных и земельных отношений Владимирской области от 11.10.2023 № 101-н
"Об утверждении результатов определения кадастровой стоимости объектов капитального строительства на территории Владимирской области"
(Зарегистрирован 11.10.2023 № МИО2023-101)
Номер опубликования: 3301202310130003
Дата опубликования: 13.10.2023
Страница №3 из 25046:
Увеличить