Официальное опубликование правовых актов
ОФИЦИАЛЬНОЕ ОПУБЛИКОВАНИЕ
Приказ Министерства природопользования и экологии Владимирской области от 10.10.2023 № 105-н
"Об установлении зон санитарной охраны источников питьевого и хозяйственно-бытового водоснабжения Фонд "Шередарь"
(Зарегистрирован 10.10.2023 № МПЭ2023-105)
Номер опубликования: 3301202310100014
Дата опубликования: 10.10.2023
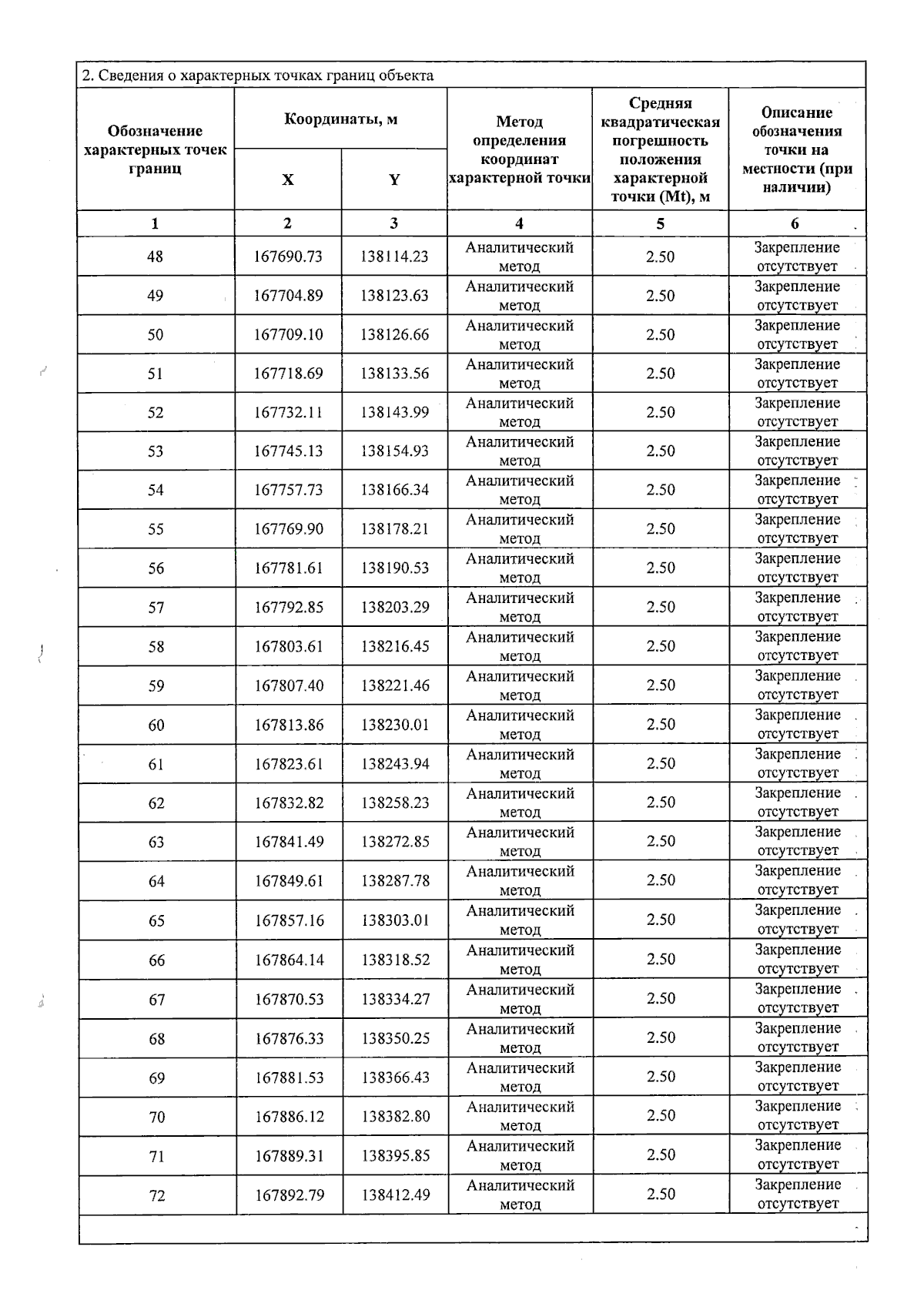
Страница №19 из 28:
Увеличить