Официальное опубликование правовых актов
ОФИЦИАЛЬНОЕ ОПУБЛИКОВАНИЕ
Приказ Министерства природопользования и экологии Владимирской области от 26.09.2023 № 103-н
"О внесении изменений в постановление Департамента природопользования от 11.04.2017 № 40/01-25"
(Зарегистрирован 26.09.2023 № МПЭ2023-103)
Номер опубликования: 3301202309260006
Дата опубликования: 26.09.2023
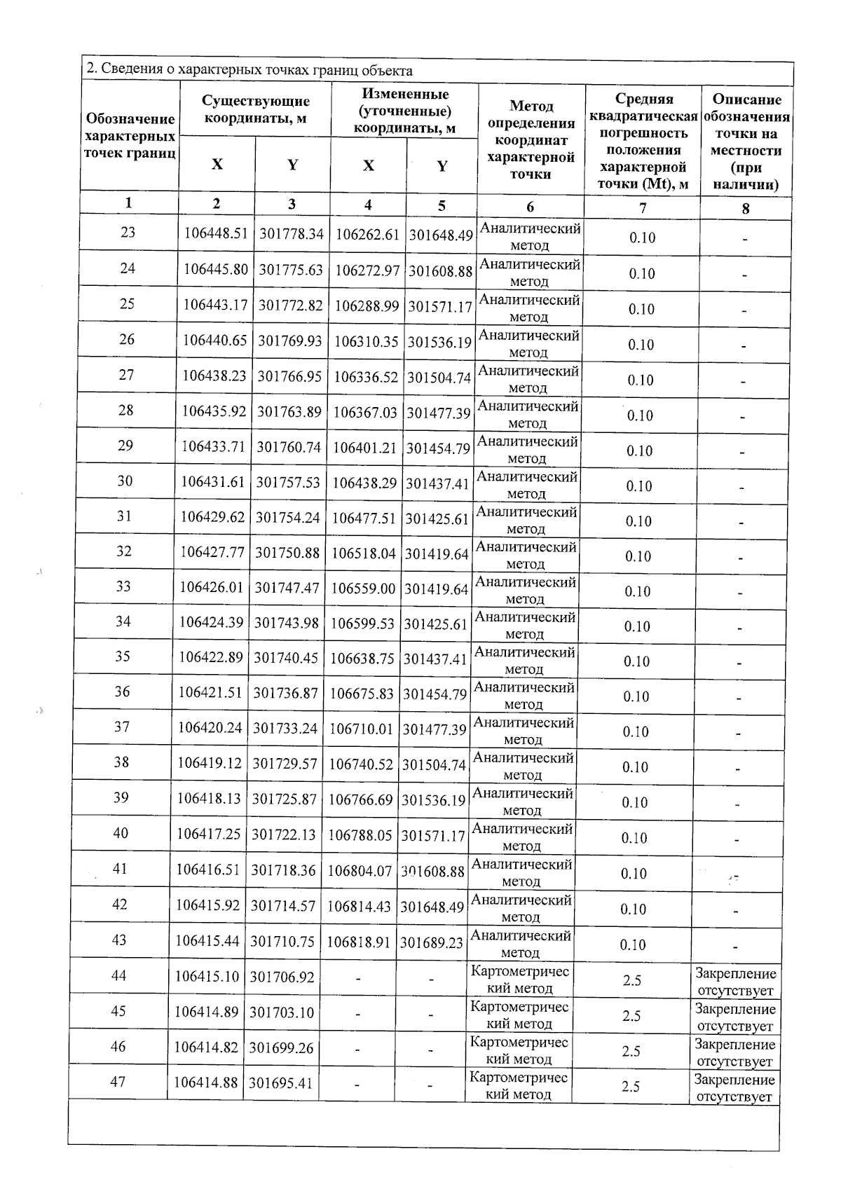
Страница №10 из 30:
Увеличить