Официальное опубликование правовых актов
ОФИЦИАЛЬНОЕ ОПУБЛИКОВАНИЕ
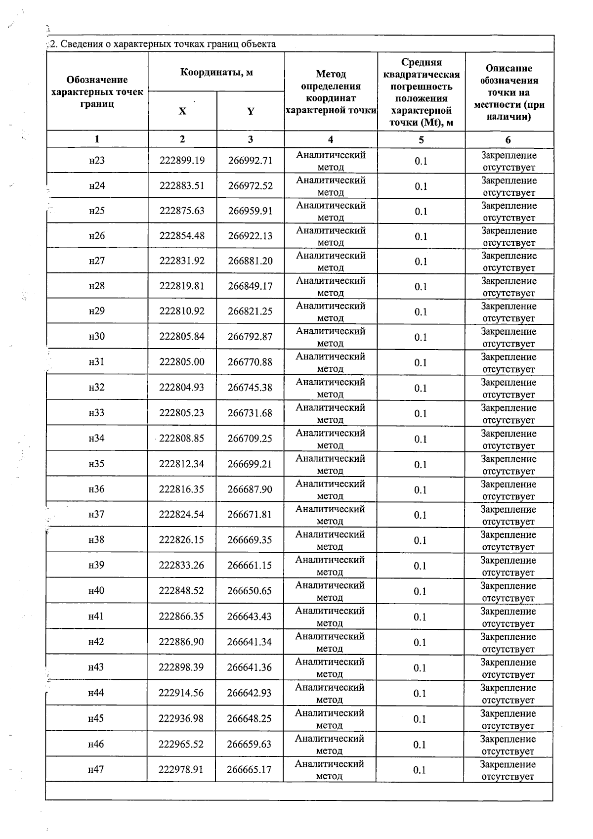
Приказ Министерства природопользования и экологии Владимирской области от 19.09.2023 № 100-н
"Об установлении зон санитарной охраны источников хозяйственно-питьевого и производственного водоснабжения АО "КЗСК"
(Зарегистрирован 19.09.2023 № МПЭ2023-100)
Номер опубликования: 3301202309200001
Дата опубликования: 20.09.2023
Страница №15 из 36:
Увеличить