Официальное опубликование правовых актов
ОФИЦИАЛЬНОЕ ОПУБЛИКОВАНИЕ
Приказ Министерства природопользования и экологии Владимирской области от 08.06.2023 № 76-н
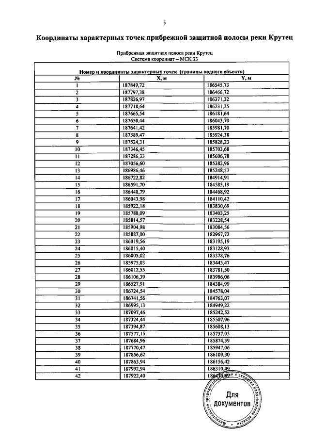
"Об утверждении границ водоохранной зоны и прибрежной защитной полосы реки Крутец"
(Зарегистрирован 08.06.2023 № МПЭ2023-076)
Номер опубликования: 3301202306080005
Дата опубликования: 08.06.2023
Страница №6 из 19:
Увеличить