Официальное опубликование правовых актов
ОФИЦИАЛЬНОЕ ОПУБЛИКОВАНИЕ
Приказ Министерства природопользования и экологии Владимирской области от 07.06.2023 № 75-н
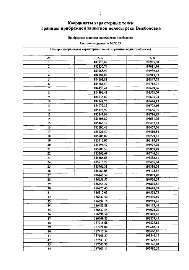
"Об утверждении границ водоохранной зоны и прибрежной защитной полосы реки Вежболовка"
(Зарегистрирован 07.06.2023 № МПЭ2023-075)
Номер опубликования: 3301202306070001
Дата опубликования: 07.06.2023
Страница №12 из 48:
Увеличить