Официальное опубликование правовых актов
ОФИЦИАЛЬНОЕ ОПУБЛИКОВАНИЕ
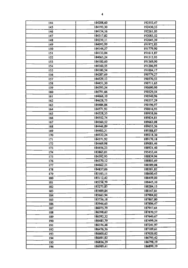
Приказ Министерства природопользования и экологии Владимирской области от 31.05.2023 № 70-н
"Об утверждении границ водоохранной зоны и прибрежной защитной полосы реки Ворша"
(Зарегистрирован 31.05.2023 № МПЭ2023-070)
Номер опубликования: 3301202305310003
Дата опубликования: 31.05.2023
Страница №7 из 116:
Увеличить