Официальное опубликование правовых актов
ОФИЦИАЛЬНОЕ ОПУБЛИКОВАНИЕ
Приказ Министерства государственного регулирования цен и тарифов Владимирской области от 18.05.2023 № 17/38
"Об утверждении экономически обоснованных расходов АО "Газпром газораспределение Владимир" на выполнение мероприятий по технологическому присоединению в рамках догазификации в 1 квартале 2023 года"
(Зарегистрирован 18.05.2023 № МГРЦТ 2023-038)
Номер опубликования: 3301202305190008
Дата опубликования: 19.05.2023
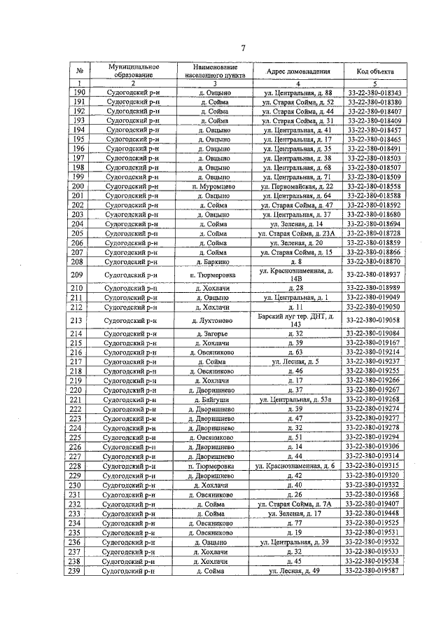
Страница №7 из 29:
Увеличить