Официальное опубликование правовых актов
ОФИЦИАЛЬНОЕ ОПУБЛИКОВАНИЕ
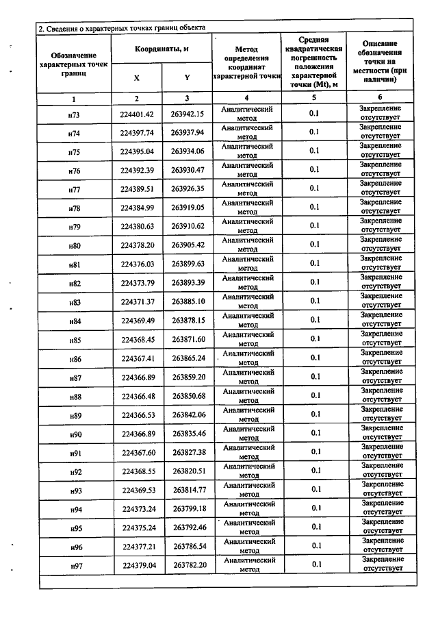
Приказ Министерства природопользования и экологии Владимирской области от 17.05.2023 № 65-н
"Об установлении зон санитарной охраны источников питьевого, хозяйственно-бытового водоснабжения ООО "Ткацкая фабрика "Медтекс""
(Зарегистрирован 17.05.2023 № МПЭ2023-065)
Номер опубликования: 3301202305180003
Дата опубликования: 18.05.2023
Страница №12 из 32:
Увеличить