Официальное опубликование правовых актов
ОФИЦИАЛЬНОЕ ОПУБЛИКОВАНИЕ
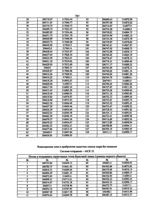
Приказ Министерства природопользования и экологии Владимирской области от 16.05.2023 № 64-н
"Об утверждении границ водоохранной зоны и прибрежной защитной полосы реки Суворощь и ее притока реки Селезень на территории Владимирской области"
(Зарегистрирован 16.05.2023 № МПЭ2023-064)
Номер опубликования: 3301202305180001
Дата опубликования: 18.05.2023
Страница №790 из 803:
Увеличить