Приказ Министерства природопользования и экологии Владимирской области от 13.04.2023 № 51-н
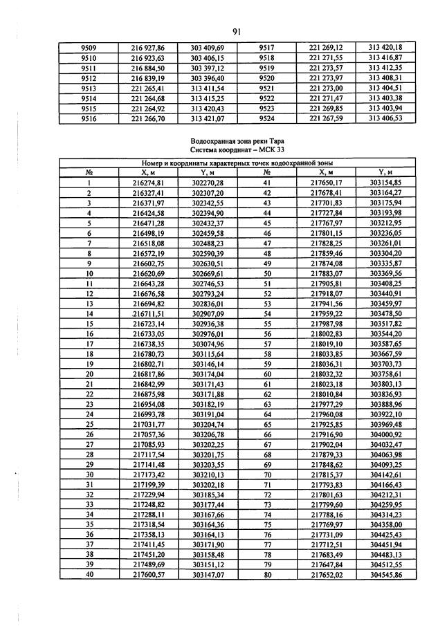
"Об утверждении границ водоохранной зоны и прибрежной защитной полосы реки Тара"
(Зарегистрирован 13.04.2023 № МПЭ2023-051)
"Об утверждении границ водоохранной зоны и прибрежной защитной полосы реки Тара"
(Зарегистрирован 13.04.2023 № МПЭ2023-051)
Номер опубликования: 3301202304130001
Дата опубликования:
13.04.2023
