Официальное опубликование правовых актов
ОФИЦИАЛЬНОЕ ОПУБЛИКОВАНИЕ
Приказ Министерства природопользования и экологии Владимирской области от 31.03.2023 № 41-н
"О внесении изменений в постановление Департамента природопользования и охраны окружающей среды Владимирской области от 28.12.2020 г. № 187 "О корректировке Территориальной схемы обращения с отходами на территории Владимирской области"
(Зарегистрирован 31.03.2023 № МПЭ2023-041)
Номер опубликования: 3301202304050002
Дата опубликования: 05.04.2023
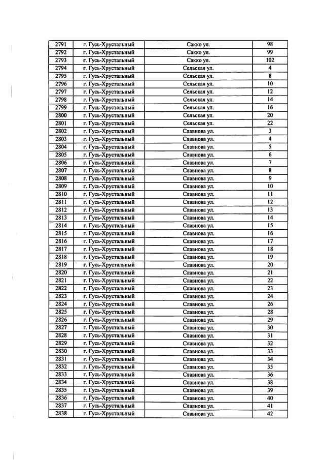
Страница №1523 из 1607:
Увеличить