Официальное опубликование правовых актов
ОФИЦИАЛЬНОЕ ОПУБЛИКОВАНИЕ
Приказ Министерства природопользования и экологии Владимирской области от 03.04.2023 № 42-н
"Об установлении зон санитарной охраны источников питьевого, хозяйственно-бытового и технологического водоснабжения ООО "НТС-Лидер"
(Зарегистрирован 03.04.2023 № МПЭ2023-042)
Номер опубликования: 3301202304040004
Дата опубликования: 04.04.2023
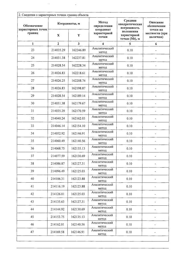
Страница №9 из 25:
Увеличить