Официальное опубликование правовых актов
ОФИЦИАЛЬНОЕ ОПУБЛИКОВАНИЕ
Приказ Министерства природопользования и экологии Владимирской области от 27.02.2023 № 27-н
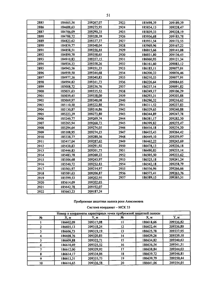
"Об утверждении границ водоохранной зоны и прибрежной защитной полосы реки Анисимовки и озера Рукавское"
(Зарегистрирован 27.02.2023 № МПЭ2023-027)
Номер опубликования: 3301202302270001
Дата опубликования: 27.02.2023
Страница №54 из 126:
Увеличить