Официальное опубликование правовых актов
ОФИЦИАЛЬНОЕ ОПУБЛИКОВАНИЕ
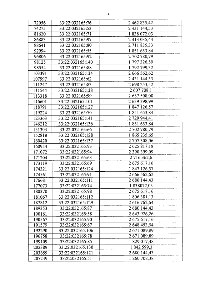
Приказ Министерства имущественных и земельных отношений Владимирской области от 21.02.2023 № 14-н
"О внесении изменений в постановление Департамента имущественных и земельных отношений Владимирской области от 27.11.2020 №18"
(Зарегистрирован 21.02.2023 № МИО2023-014)
Номер опубликования: 3301202302220002
Дата опубликования: 22.02.2023
Страница №4 из 5:
Увеличить