Официальное опубликование правовых актов
ОФИЦИАЛЬНОЕ ОПУБЛИКОВАНИЕ
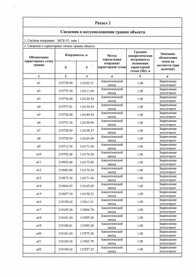
Приказ Министерства природопользования и экологии Владимирской области от 24.01.2023 № 5-н
"Об установлении зон санитарной охраны источников хозяйственно-питьевого водоснабжения Московской дирекции потеплоснабжению – СП ЦДТ – филиала ОАО "РЖД"
Номер опубликования: 3301202301240005
Дата опубликования: 24.01.2023
Страница №15 из 20:
Увеличить