Официальное опубликование правовых актов
ОФИЦИАЛЬНОЕ ОПУБЛИКОВАНИЕ
Постановление Инспекции государственной охраны объектов культурного наследия Владимирской области от 27.12.2022 № 46
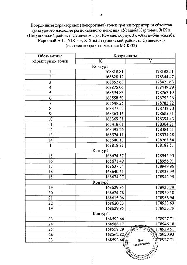
"Об утверждении границ и режима использования территории объектов культурного наследия регионального значения "Усадьба Карпова", XIX в. (Петушинский район, п.Сушнево-1, ул. Южная, корпус 3), "Ансамбль усадьбы Карповой А.Г., XIX в.", XIX в. (Петушинский район, п. Сушнево-1)"
Номер опубликования: 3301202212300003
Дата опубликования: 30.12.2022
Страница №5 из 7:
Увеличить