Официальное опубликование правовых актов
ОФИЦИАЛЬНОЕ ОПУБЛИКОВАНИЕ
Постановление Департамента природопользования и охраны окружающей среды Владимирской области от 20.12.2022 № 126
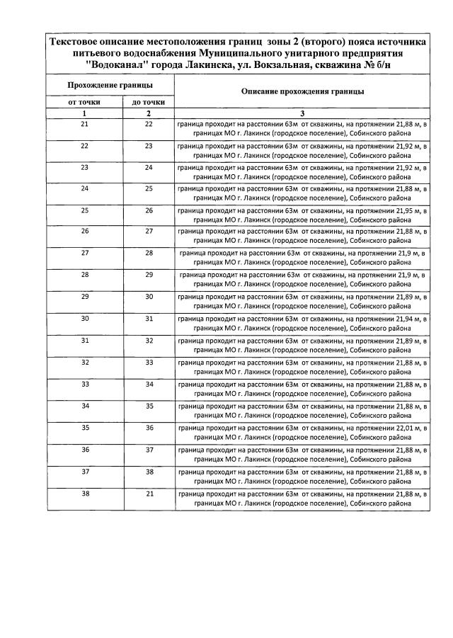
"Об установлении зон санитарной охраны источников хозяйственно-питьевого водоснабжения МУП "Водоканал" г. Лакинска"
Номер опубликования: 3301202212200006
Дата опубликования: 20.12.2022
Страница №51 из 59:
Увеличить