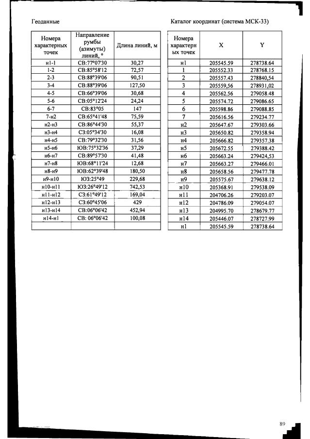
Постановление Департамента лесного хозяйства Владимирской области от 14.12.2022 № 21
"Об утверждении проектной документации по изменению границ земель, на которых располагаются леса, выполняющие функции защиты природных и иных объектов (леса, расположенные в зеленых зонах) на территории Ковровского участкового лесничества Ковровского лесничества"
"Об утверждении проектной документации по изменению границ земель, на которых располагаются леса, выполняющие функции защиты природных и иных объектов (леса, расположенные в зеленых зонах) на территории Ковровского участкового лесничества Ковровского лесничества"
Номер опубликования: 3301202212160001
Дата опубликования:
16.12.2022
