Официальное опубликование правовых актов
ОФИЦИАЛЬНОЕ ОПУБЛИКОВАНИЕ
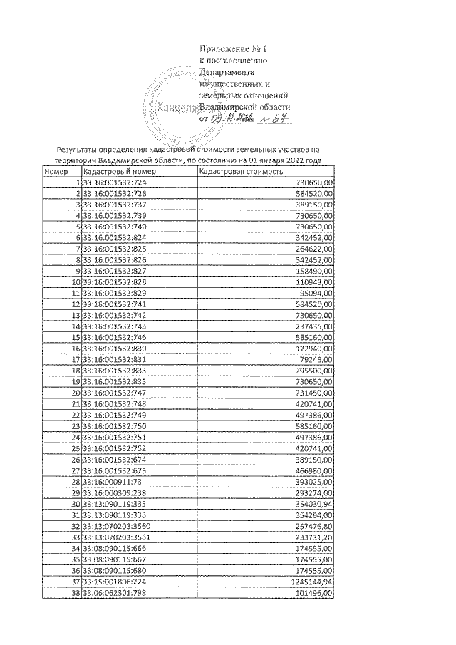
Постановление Департамента имущественных и земельных отношений Владимирской области от 09.11.2022 № 67
"Об утверждении результатов определения кадастровой стоимости земельных участков на территории Владимирской области"
Номер опубликования: 3301202211150005
Дата опубликования: 15.11.2022
Страница №3 из 18238:
Увеличить