Официальное опубликование правовых актов
ОФИЦИАЛЬНОЕ ОПУБЛИКОВАНИЕ
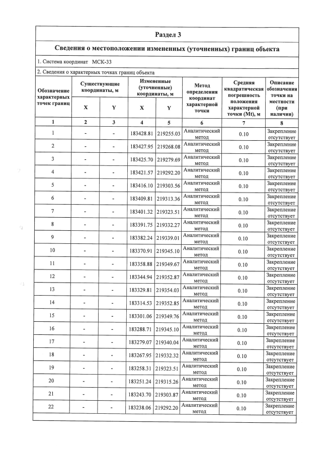
Постановление Департамента природопользования и охраны окружающей среды Владимирской области от 02.11.2022 № 115
"О внесении изменений в постановление Департамента природопользования от 08.06.2015 № 04/01-25"Об утверждении проекта зон санитарной охраны"
Номер опубликования: 3301202211030003
Дата опубликования: 03.11.2022
Страница №13 из 24:
Увеличить