Официальное опубликование правовых актов
ОФИЦИАЛЬНОЕ ОПУБЛИКОВАНИЕ
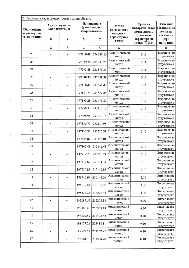
Постановление Департамента природопользования и охраны окружающей среды Владимирской области от 02.11.2022 № 116
"О внесении изменений в постановление Департамента природопользования от 21.08.2020 № 101 "Об установлении зон санитарной охраны"
Номер опубликования: 3301202211030001
Дата опубликования: 03.11.2022
Страница №24 из 28:
Увеличить