Официальное опубликование правовых актов
ОФИЦИАЛЬНОЕ ОПУБЛИКОВАНИЕ
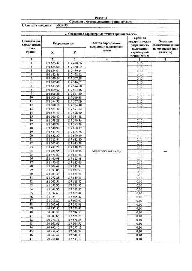
Постановление Департамента природопользования и охраны окружающей среды Владимирской области от 27.09.2022 № 97
"Об установлении зон санитарной охраны источников хозяйственно-питьевого водоснабжения Першинское УМПП ЖКХ"
Номер опубликования: 3301202209290001
Дата опубликования: 29.09.2022
Страница №31 из 55:
Увеличить