Официальное опубликование правовых актов
ОФИЦИАЛЬНОЕ ОПУБЛИКОВАНИЕ
Постановление Департамента природопользования и охраны окружающей среды Владимирской области от 06.09.2022 № 86
"Об установлении зон санитарной охраны источников хозяйственно-бытового и технического водоснабжения ООО "Газонефтепродукт сеть"
Номер опубликования: 3301202209060003
Дата опубликования: 06.09.2022
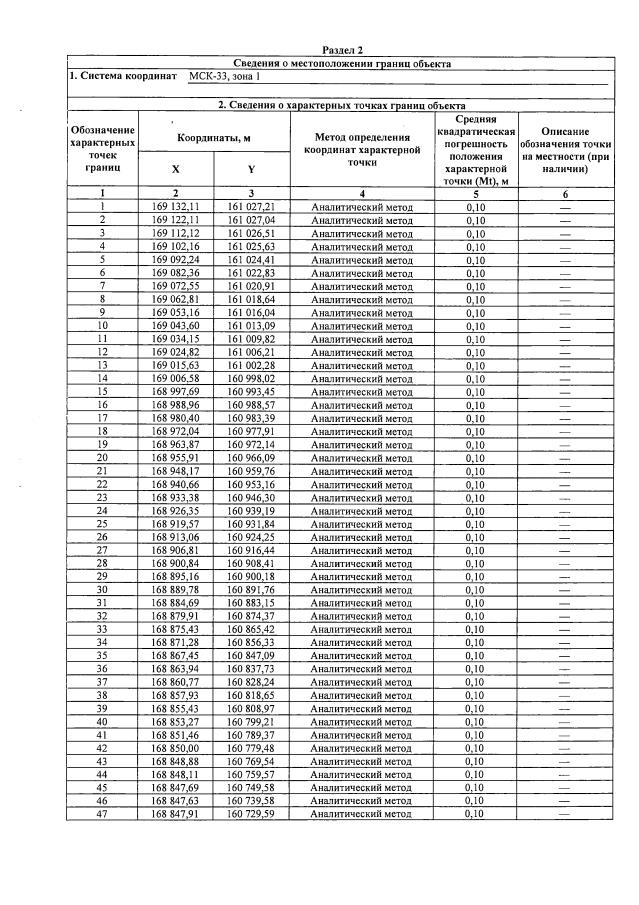
Страница №12 из 19:
Увеличить