Официальное опубликование правовых актов
ОФИЦИАЛЬНОЕ ОПУБЛИКОВАНИЕ
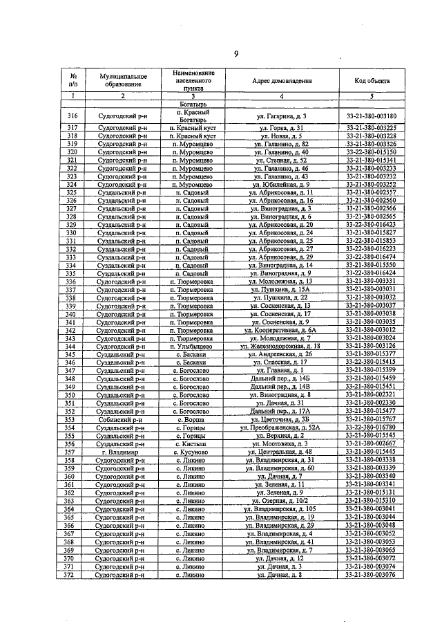
Постановление Департамента государственного регулирования цен и тарифов Владимирской области от 11.08.2022 № 21/43
"Об утверждении экономически обоснованных расходов АО "Газпром газораспределение Владимир" на выполнение мероприятий по технологическому присоединению в рамках догазификации во 2 квартале 2022 года"
Номер опубликования: 3301202208160010
Дата опубликования: 16.08.2022
Страница №9 из 16:
Увеличить