Официальное опубликование правовых актов
ОФИЦИАЛЬНОЕ ОПУБЛИКОВАНИЕ
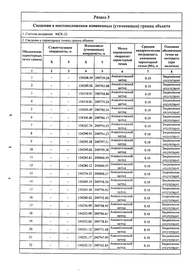
Постановление Департамента природопользования и охраны окружающей среды Владимирской области от 27.06.2022 № 64
"О внесении изменений в приказ Департамента природопользования от 18.02.2014 № 21/01-08 "Об утверждении проекта зон санитарной охраны"
Номер опубликования: 3301202206270003
Дата опубликования: 27.06.2022
Страница №44 из 62:
Увеличить