Официальное опубликование правовых актов
ОФИЦИАЛЬНОЕ ОПУБЛИКОВАНИЕ
Постановление Департамента архитектуры и строительства Владимирской области от 02.06.2022 № 17
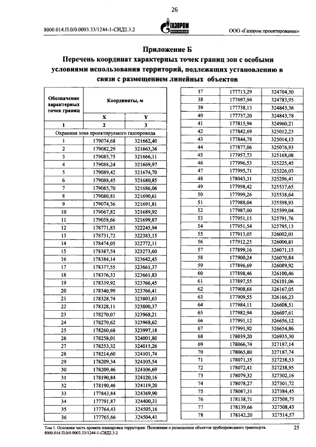
"Об утверждении документации по планировке территории объекта "Газопровод межпоселковый д. Золотово Гороховецкого района д. Обеднино — д. Злобаево — с. Сергиевы Горки - д. Медведево — д. Курбатиха Вязниковского района Владимирской области"
Номер опубликования: 3301202206060001
Дата опубликования: 06.06.2022
Страница №27 из 89:
Увеличить