Официальное опубликование правовых актов
ОФИЦИАЛЬНОЕ ОПУБЛИКОВАНИЕ
Постановление Департамента природопользования и охраны окружающей среды Владимирской области от 06.04.2022 № 37
"Об установлении зон санитарной охраны источников хозяйственно-питьевого водоснабжения МУП МТС "Окская"
Номер опубликования: 3301202204060011
Дата опубликования: 06.04.2022
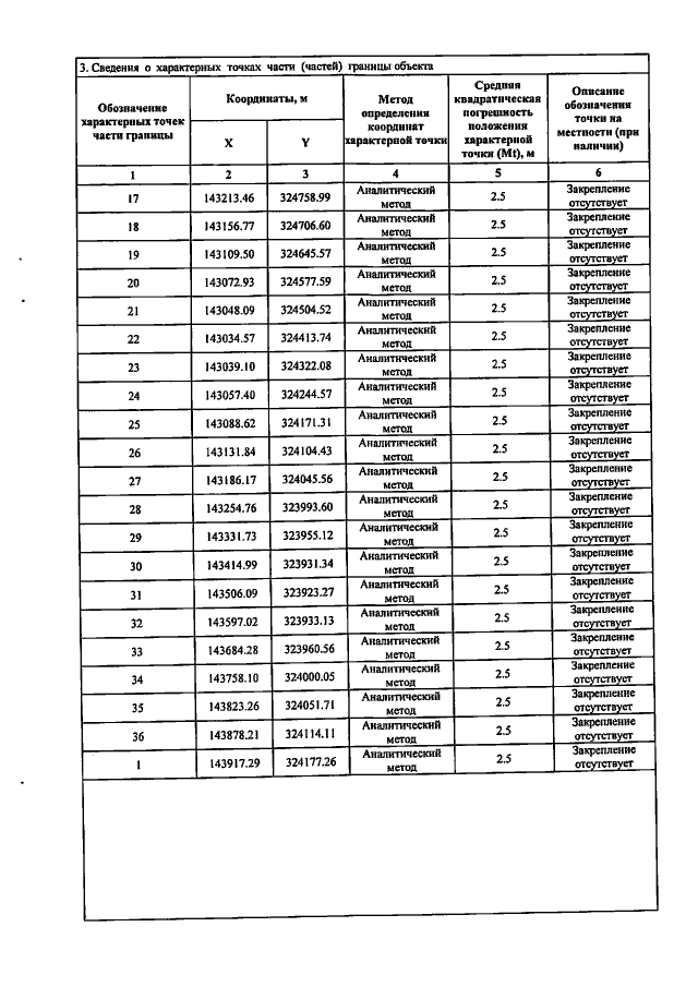
Страница №189 из 223:
Увеличить