Официальное опубликование правовых актов
ОФИЦИАЛЬНОЕ ОПУБЛИКОВАНИЕ
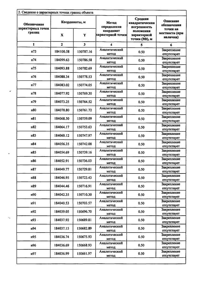
Постановление Департамента природопользования и охраны окружающей среды Владимирской области от 29.03.2022 № 36
"О внесении изменений в постановление Департамента природопользования от 17.12.2021 №247 “Об установлении зон санитарной охраны”"
Номер опубликования: 3301202203300001
Дата опубликования: 30.03.2022
Страница №36 из 42:
Увеличить