Официальное опубликование правовых актов
ОФИЦИАЛЬНОЕ ОПУБЛИКОВАНИЕ
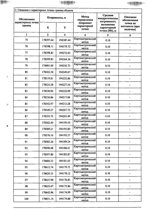
Постановление Департамента природопользования и охраны окружающей среды Владимирской области от 24.03.2022 № 32
"Об установлении зон санитарной охраны источников хозяйственно-питьевого и технологического водоснабжения НПАО "Де Хес"
Номер опубликования: 3301202203240001
Дата опубликования: 24.03.2022
Страница №40 из 50:
Увеличить