Официальное опубликование правовых актов
ОФИЦИАЛЬНОЕ ОПУБЛИКОВАНИЕ
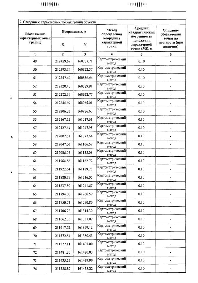
Постановление Департамента природопользования и охраны окружающей среды Владимирской области от 14.03.2022 № 29
"О внесении изменений в постановление Департамента природопользования от 01.08.2016 №112/01-25 "Об утверждении проекта зон санитарной охраны"
Номер опубликования: 3301202203140006
Дата опубликования: 14.03.2022
Страница №36 из 64:
Увеличить