Официальное опубликование правовых актов
ОФИЦИАЛЬНОЕ ОПУБЛИКОВАНИЕ
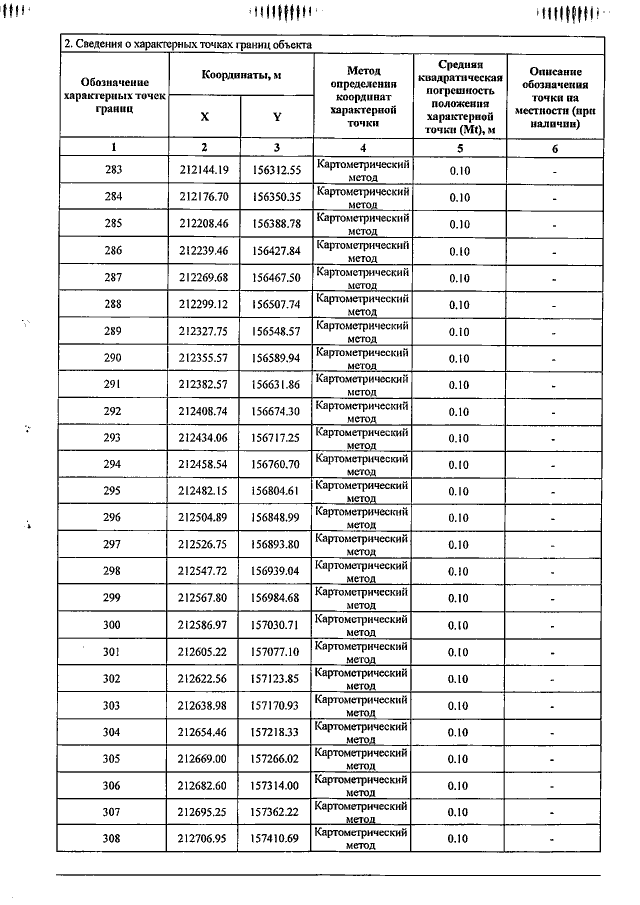
Постановление Департамента природопользования и охраны окружающей среды Владимирской области от 14.03.2022 № 28
"Об установлении зон санитарной охраны источников питьевого и технологического водоснабжения АО “ЭКЗ”"
Номер опубликования: 3301202203140004
Дата опубликования: 14.03.2022
Страница №41 из 57:
Увеличить