Официальное опубликование правовых актов
ОФИЦИАЛЬНОЕ ОПУБЛИКОВАНИЕ
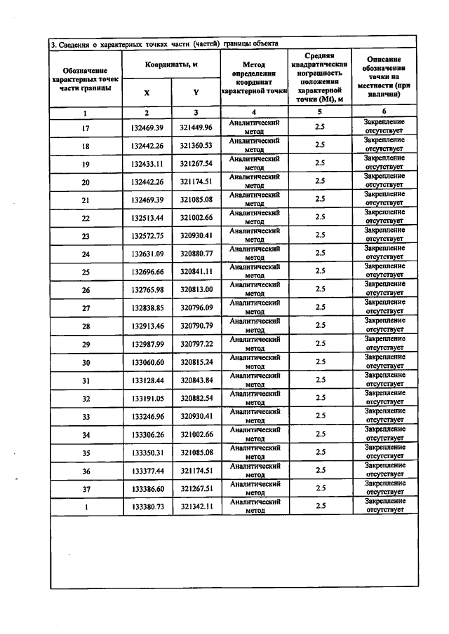
Постановление Департамента природопользования и охраны окружающей среды Владимирской области от 22.02.2022 № 26
"Об установлении зон санитарной охраны источников Хозяйственно-питьевого водоснабжения МУП о.Муром "Водопровод и канализация"
Номер опубликования: 3301202202220005
Дата опубликования: 22.02.2022
Страница №147 из 158:
Увеличить