Официальное опубликование правовых актов
ОФИЦИАЛЬНОЕ ОПУБЛИКОВАНИЕ
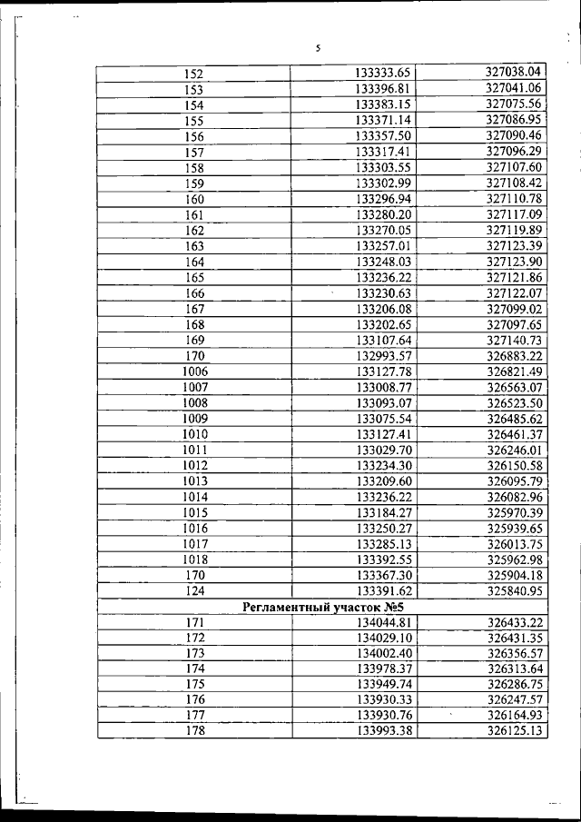
Постановление Инспекции государственной охраны объектов культурного наследия Владимирской области от 20.12.2021 № 43
"О внесении изменений в постановление Государственной инспекции по охране объектов культурного наследия администрации Владимирской области от 03.12.2020 № 47"
Номер опубликования: 3301202112280003
Дата опубликования: 28.12.2021
Страница №6 из 14:
Увеличить