Официальное опубликование правовых актов
ОФИЦИАЛЬНОЕ ОПУБЛИКОВАНИЕ
Постановление Инспекции государственной охраны объектов культурного наследия Владимирской области от 29.11.2021 № 39
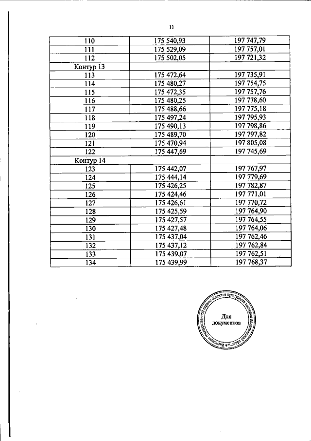
"Об утверждении границ и режима использования территории объекта культурного наследия регионального значения "Ансамбль сооружений прядильно-ткацкой фабрики", сер. XIX в. – нач. XX в. (Владимирская область, г. Собинка)"
Номер опубликования: 3301202112060002
Дата опубликования: 06.12.2021
Страница №12 из 14:
Увеличить