Официальное опубликование правовых актов
ОФИЦИАЛЬНОЕ ОПУБЛИКОВАНИЕ
Постановление Инспекции государственной охраны объектов культурного наследия Владимирской области от 19.11.2021 № 35
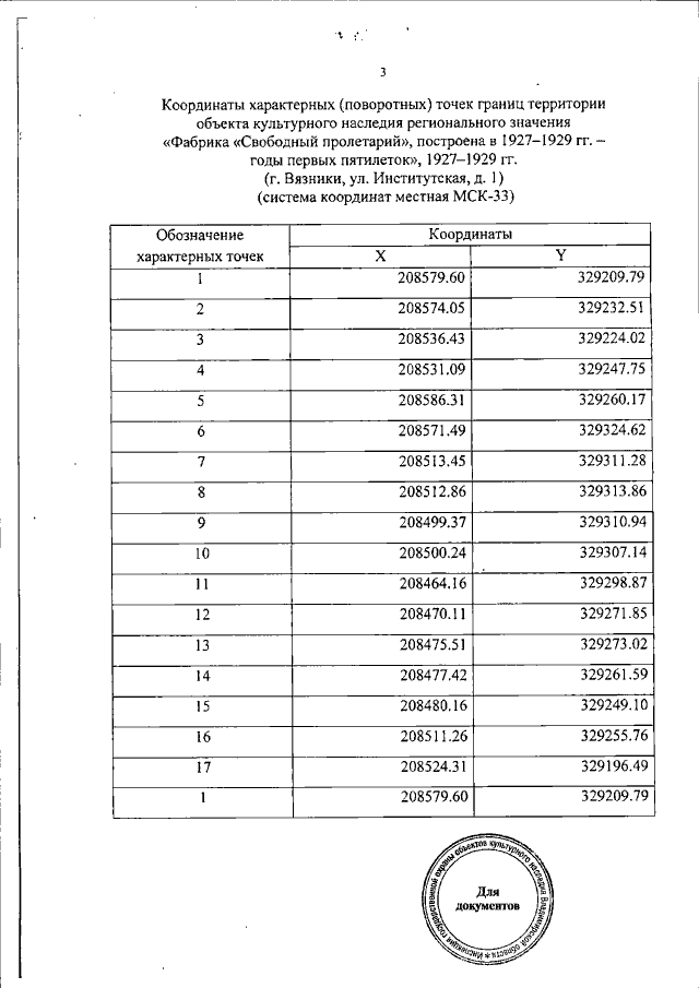
"Об утверждении границ и режима использования территории объекта культурного наследия регионального значения "Фабрика "Свободный пролетарий", построена в 1927–1929 гг. – годы первых пятилеток", 1927–1929 гг. (г.Вязники, ул. Институтская, д. 1)"
Номер опубликования: 3301202111190005
Дата опубликования: 19.11.2021
Страница №4 из 6:
Увеличить