Официальное опубликование правовых актов
ОФИЦИАЛЬНОЕ ОПУБЛИКОВАНИЕ
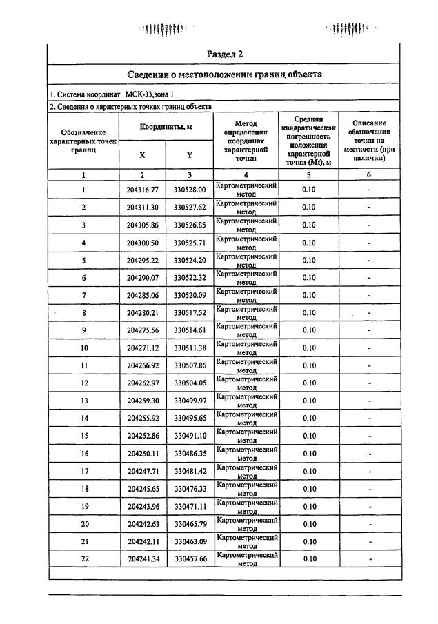
Постановление Департамента природопользования и охраны окружающей среды Владимирской области от 29.09.2021 № 190
"Об установлении зон санитарной охраны источников хозяйственно-питьевого и технологического водоснабжения АО "Нововязниковское РТП"
Номер опубликования: 3301202109300002
Дата опубликования: 30.09.2021
Страница №9 из 35:
Увеличить