Официальное опубликование правовых актов
ОФИЦИАЛЬНОЕ ОПУБЛИКОВАНИЕ
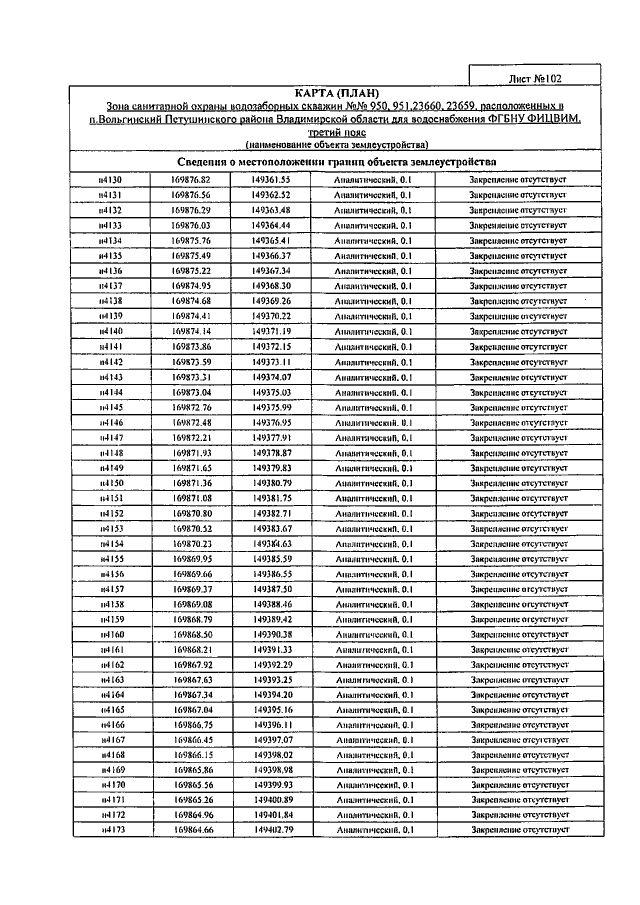
Постановление Департамента природопользования и охраны окружающей среды Владимирской области от 22.09.2021 № 182
"Об установлении зон санитарной охраны источников хозяйственно-питьевого и производственного водоснабжения ФГБНУ "ФИЦВиМ"
Номер опубликования: 3301202109240003
Дата опубликования: 24.09.2021
Страница №181 из 279:
Увеличить