Официальное опубликование правовых актов
ОФИЦИАЛЬНОЕ ОПУБЛИКОВАНИЕ
Постановление Департамента природопользования и охраны окружающей среды Владимирской области от 25.08.2021 № 165
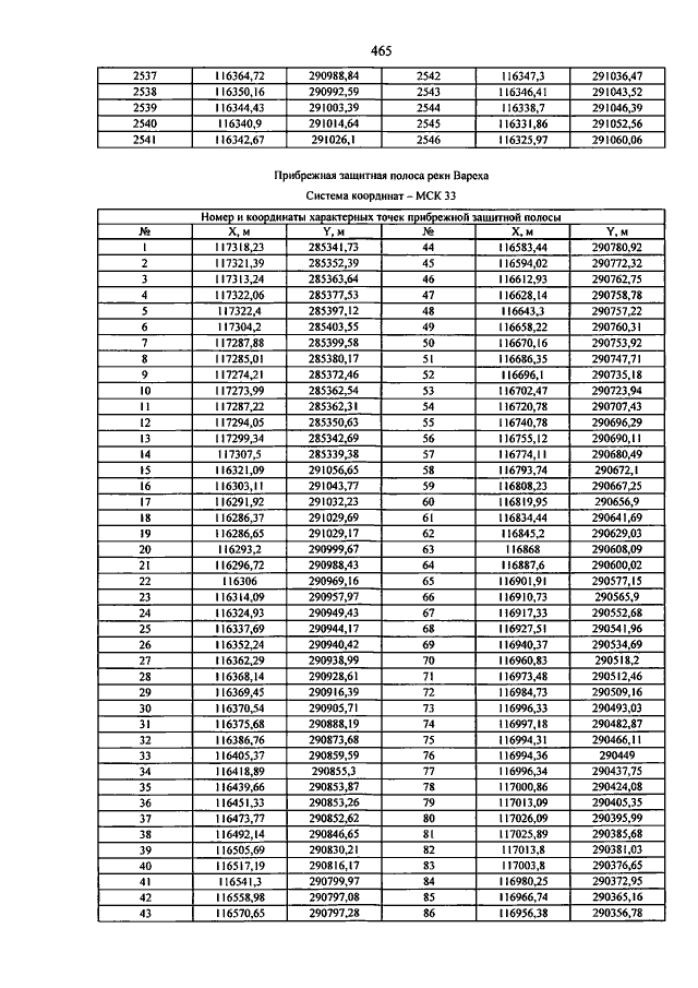
"Об утверждении границ водоохранной зоны и прибрежной защитной полосы реки Унжа и реки Вареха на территории Владимирской области"
Номер опубликования: 3301202108260005
Дата опубликования: 26.08.2021
Страница №468 из 544:
Увеличить