Официальное опубликование правовых актов
ОФИЦИАЛЬНОЕ ОПУБЛИКОВАНИЕ
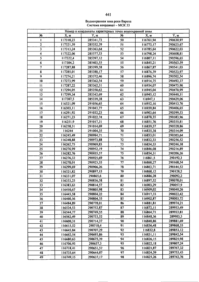
Постановление Департамента природопользования и охраны окружающей среды Владимирской области от 25.08.2021 № 165
"Об утверждении границ водоохранной зоны и прибрежной защитной полосы реки Унжа и реки Вареха на территории Владимирской области"
Номер опубликования: 3301202108260005
Дата опубликования: 26.08.2021
Страница №444 из 544:
Увеличить