Официальное опубликование правовых актов
ОФИЦИАЛЬНОЕ ОПУБЛИКОВАНИЕ
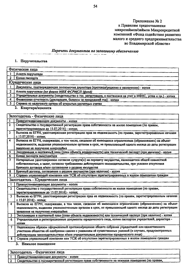
Постановление Департамента предпринимательства Владимирской области от 24.08.2021 № 18
"Об утверждении Правил предоставления микрозаймов/займов Микрокредитной компанией "Фонд содействия развитию малого и среднего предпринимательства во Владимирской области" и признании утратившим силу постановления Департамента предпринимательства Владимирской области от 18.02.2021 №3"
Номер опубликования: 3301202108260002
Дата опубликования: 26.08.2021
Страница №55 из 60:
Увеличить