Официальное опубликование правовых актов
ОФИЦИАЛЬНОЕ ОПУБЛИКОВАНИЕ
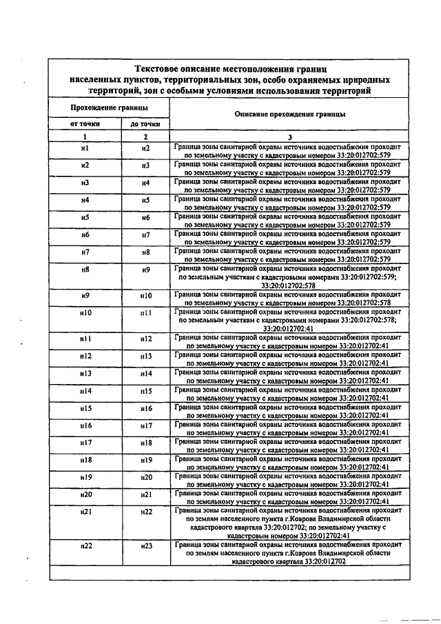
Постановление Департамента природопользования и охраны окружающей среды Владимирской области от 20.08.2021 № 163
"Об установлении зон санитарной охраны источников питьевого и технологического водоснабжения ООО "Контейнекс-Монолит"
Номер опубликования: 3301202108200001
Дата опубликования: 20.08.2021
Страница №41 из 56:
Увеличить