Официальное опубликование правовых актов
ОФИЦИАЛЬНОЕ ОПУБЛИКОВАНИЕ
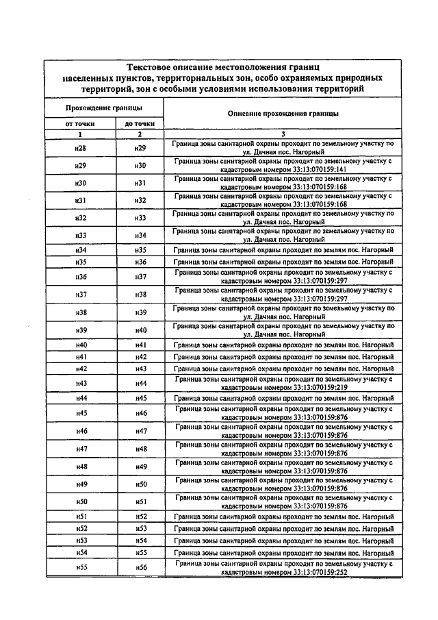
Постановление Департамента природопользования и охраны окружающей среды Владимирской области от 09.08.2021 № 156
"Об установлении зон санитарной охраны источников питьевого водоснабжения ООО "Покровский пряник"
Номер опубликования: 3301202108090001
Дата опубликования: 09.08.2021
Страница №34 из 45:
Увеличить