Официальное опубликование правовых актов
ОФИЦИАЛЬНОЕ ОПУБЛИКОВАНИЕ
Постановление Департамента природопользования и охраны окружающей среды Владимирской области от 02.08.2021 № 152
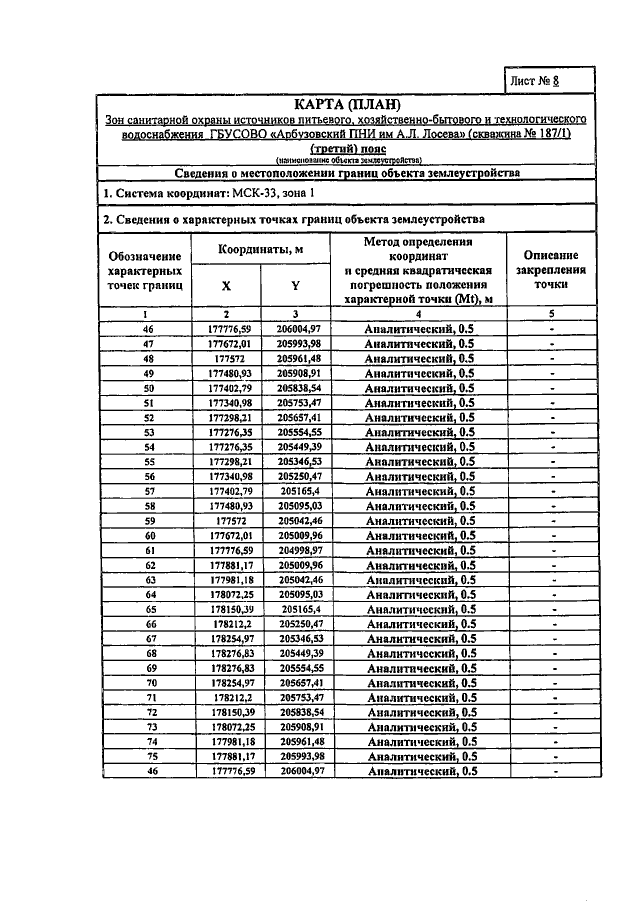
"Об установлении зон санитарной охраны источников питьевого, хозяйственно-бытового и технологического водоснабжения ГБУСОВО "Арбузовский ПНИ им. А.Л. Лосева"
Номер опубликования: 3301202108020001
Дата опубликования: 02.08.2021
Страница №11 из 52:
Увеличить