Официальное опубликование правовых актов
ОФИЦИАЛЬНОЕ ОПУБЛИКОВАНИЕ
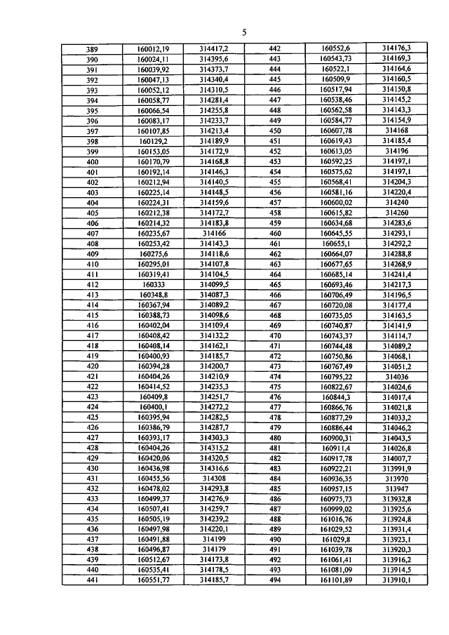
Постановление Департамента природопользования и охраны окружающей среды Владимирской области от 16.07.2021 № 145
"Об утверждении границ водоохранной зоны и прибрежной защитной полосы реки Колпь (приток реки Ушна) от истока до устья на территории Владимирской области"
Номер опубликования: 3301202107190001
Дата опубликования: 19.07.2021
Страница №8 из 469:
Увеличить