Официальное опубликование правовых актов
ОФИЦИАЛЬНОЕ ОПУБЛИКОВАНИЕ
Постановление Департамента природопользования и охраны окружающей среды Владимирской области от 16.07.2021 № 145
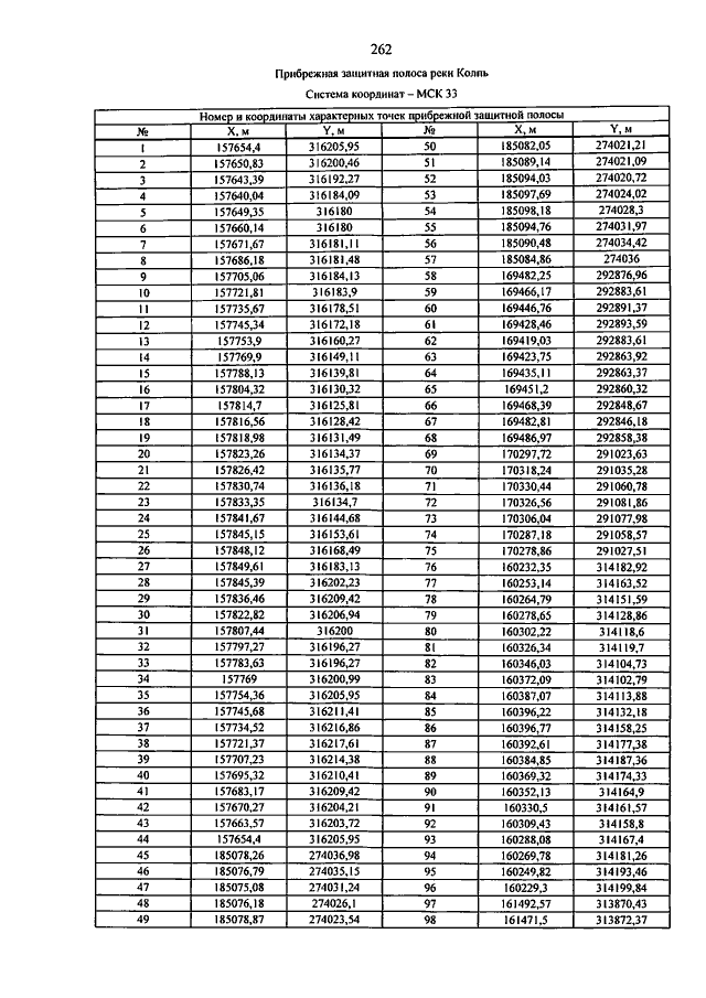
"Об утверждении границ водоохранной зоны и прибрежной защитной полосы реки Колпь (приток реки Ушна) от истока до устья на территории Владимирской области"
Номер опубликования: 3301202107190001
Дата опубликования: 19.07.2021
Страница №265 из 469:
Увеличить