Официальное опубликование правовых актов
ОФИЦИАЛЬНОЕ ОПУБЛИКОВАНИЕ
Постановление Департамента природопользования и охраны окружающей среды Владимирской области от 08.07.2021 № 136
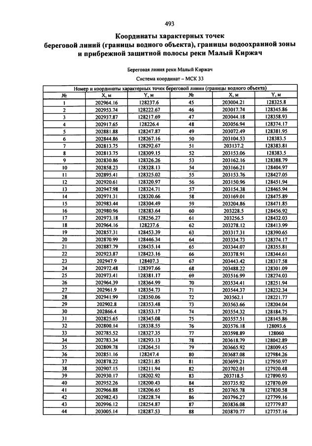
"Об утверждении границ водоохранной зоны и прибрежной защитной полосы реки Киржач (Большой Киржач) и ее притоков реки Малый Киржачи реки Вахчилка от истока до устья на территории Владимирской области"
Номер опубликования: 3301202107130006
Дата опубликования: 13.07.2021
Страница №496 из 1148:
Увеличить