Официальное опубликование правовых актов
ОФИЦИАЛЬНОЕ ОПУБЛИКОВАНИЕ
Постановление Департамента природопользования и охраны окружающей среды Владимирской области от 15.06.2021 № 129
"Об установлении зон санитарной охраны источников хозяйственно-питьевого и производственного водоснабжения филиала ГУП "ДСУ-3" "Суздальское ДРСУ"
Номер опубликования: 3301202106150001
Дата опубликования: 15.06.2021
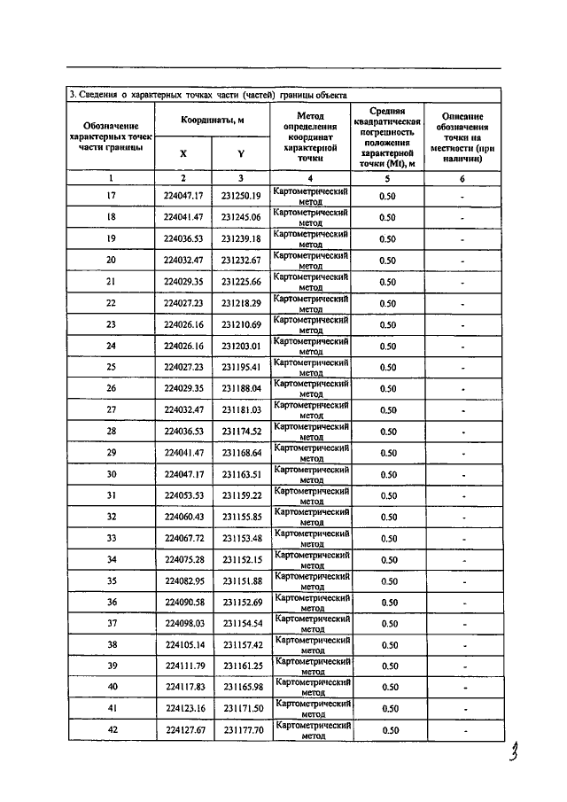
Страница №17 из 23:
Увеличить